


(本抽樣檢驗結果及有關數據不得用作商業用途)
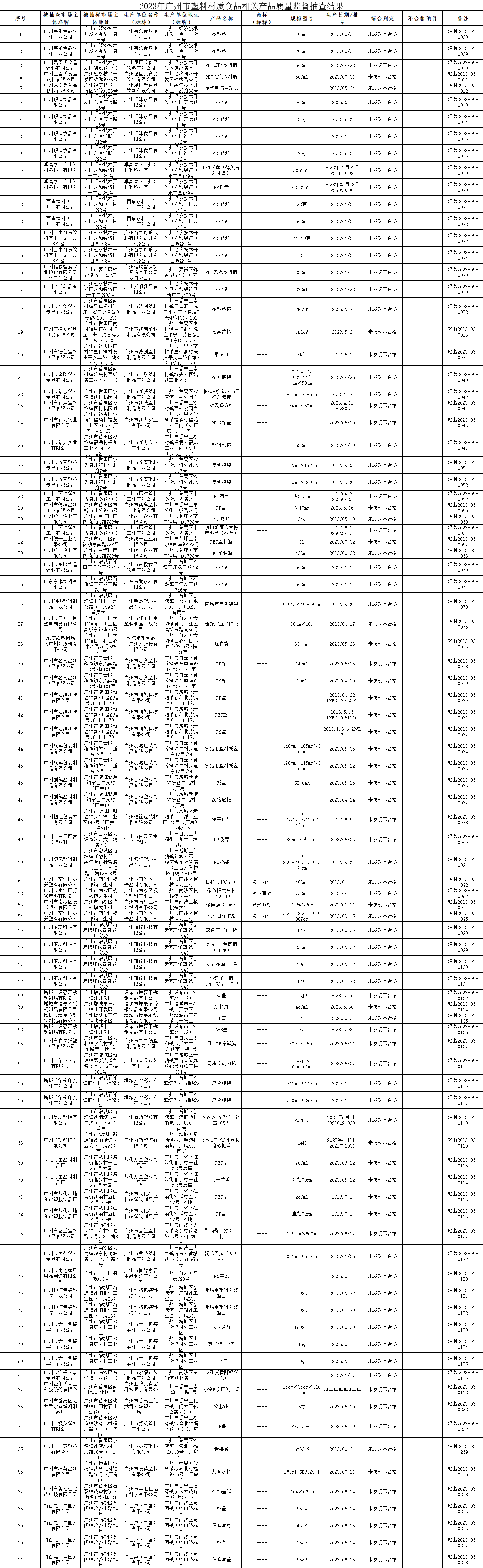
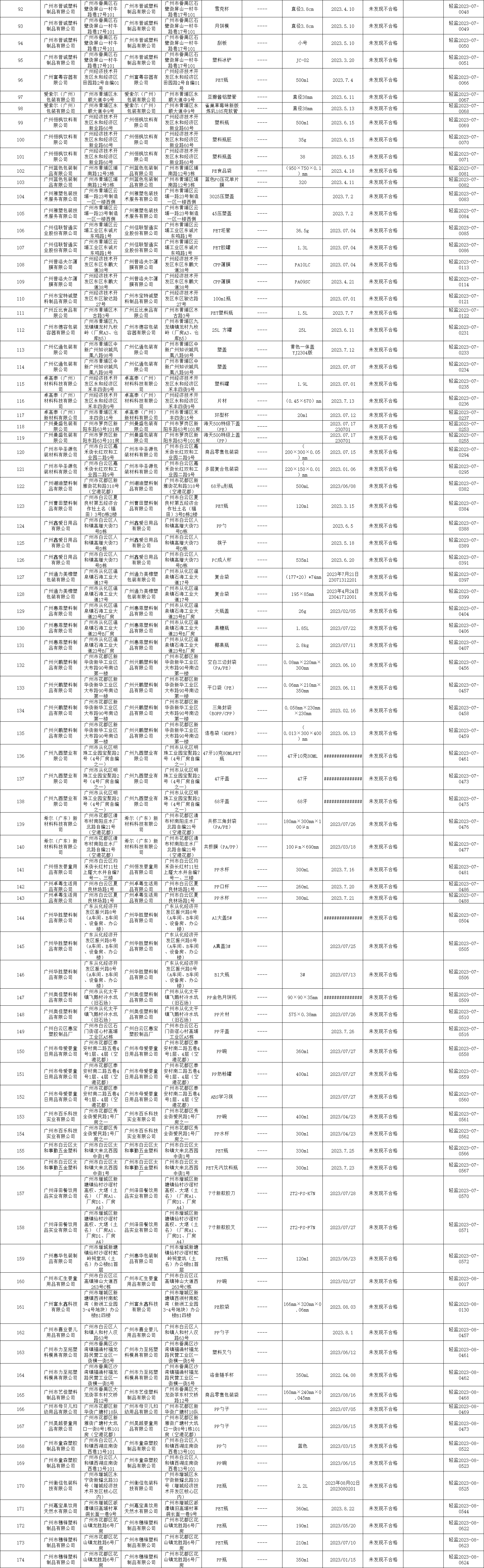
2023年第三季度,廣州市市場監督管理局對塑料材質食品相關產品(不含塑料奶瓶)產品質量進行了監督抽查,共抽查了205批次樣品,經檢驗,全部產品均符合標準要求。
本次抽查依據GB 4806.7-2016《食品安全國家標準 食品接觸用塑料材料及制品》、GB 9683-1988《復合食品包裝袋衛生標準》、GB/T 18006.1-2009 《塑料一次性餐飲具通用技術要求》及經備案有效的企業標準等標準,對感官要求、脫色試驗、高錳酸鉀消耗量、重金屬(以Pb計)、總遷移量、蒸發殘渣、大腸菌群、沙門氏菌、甲苯二胺、溶劑殘留等項目進行檢驗。
附件:2023年廣州市塑料材質食品相關產品質量監督抽查結果1.png
2023年廣州市塑料材質食品相關產品質量監督抽查結果2.png
2023年廣州市塑料材質食品相關產品質量監督抽查結果3.png
關注 · 廣州政府網